MECÂNICA DOS FLUIDOS U2 - SEÇÃO 1 U2 S1 - ATIVIDADE DIAGNÓSTICA
1) Para o estudo de um fluido, sabemos que ele não apresenta forma própria e se adapta a forma do recipiente que esteja contigo, complete a frase abaixo de acordo com o estudo da massa de um fluido.
O princípio da ________________ de massa é um dos princípios mais fundamentais da natureza.
O princípio da ________________ da massa declara que, dentro de uma região, fora de qualquer processo nuclear, a matéria não pode ser criada nem destruída. De um ponto de vista lagrangeano, a massa de todas as partículas em um sistema de partículas deverá ser________________ com o tempo, portanto, precisamos que a _________________ da massa no sistema seja igual a zero.
Assinale a alternativa correta, que completa as lacunas da frase.
Escolha uma:

Qual a velocidade de entrada desse fluido em Km/h?
Escolha uma:

Fonte:Equações Básicas na Forma Integral para um Volume de Controle.Zampar Filho 2017.
( ) Através da imagem, podemos observar que a taxa de variação da massa dentro do volume de controle deve ser igual a taxa líquida de fluxo da massa através da superfície de controle.
( ) Se o fluxo de entrada for menor que o fluxo de saída, ocorrerá um acumulo de massa no volume de controle.
( ) Se o fluxo de saída for maior que o fluxo de entrada, ocorrerá um aumento de massa no interior do volume de controle.
Analisando os itens, assinale a alternativa correta.
Escolha uma:
MECÂNICA DOS FLUIDOS U2 - SEÇÃO 1 U2 S1 - ATIVIDADE DE APRENDIZAGEM
1) Um tubo recebe água e é armazenado em um reservatório com vazão de 0,25 m³/s. Neste mesmo reservatório tem adição de óleo que tem sua vazão em 0,1 m³/s. A mistura homogênea formada é descarregada por um tubo de descarga com seção de 0,2 m². Dados (massa especifica da água= 1000 kg/m³ ; massa especifica da gasolina= 720 kg/m³).
Fonte: Brunetti (2008, p. 79).
Qual o valor da massa especifica da mistura entre água e gasolina no reservatório?.
Escolha uma:
( ) A massa especifica pode variar no espaço em caso de escoamento compreensível.
( ) Em regime permanente qualquer propriedade pode variar de ponto para ponto no espaço.
( ) As propriedades podem variar com as coordenadas polares e devem permanecer variáveis no tempo.
Assinale a alternativa correta, referente ao julgamento das frases.
Escolha uma:
I - Para entradas e saídas normais, temos que:

PORQUE
II- A velocidade de entrada e saída não ocorre variação.
Assinale a alternativa correta, referente as afirmações disponíveis.
Escolha uma:
MECÂNICA DOS FLUIDOS U2 - SEÇÃO 2 U2 S2 - ATIVIDADE DIAGNÓSTICA
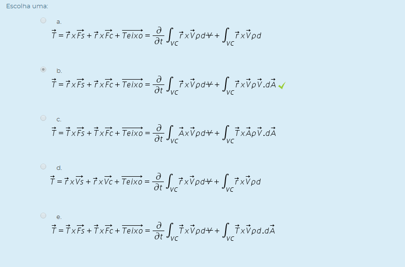
1) Para encontrarmos a formulação de volume de controle aplicável à equação da quantidade de movimento angular, recorremos ao teorema de transporte de Reynolds (TTR). E partir da seguinte equação.
Assinale a alternativa correta referente equação geral da quantidade de movimento angular para um volume de controle.
Escolha uma:
I) O volume deve ser necessariamente inercial, estando em repousou e velocidade constante em relação a um referencial.
II) O volume deve ser necessariamente não inercial, com aceleração retilínea.
III) O volume pode estar tanto em inercia quanto em aceleração retilínea.
Assinale a alternativa correta.
Escolha uma:
I - Os termos u, v e w são respectivamente os componentes do vetor força nas direções x, y e z.
PORQUE
II - Na maioria dos casos, a força F consiste em forças peso, forças de pressão e forças de reação.
Assinale a alternativa correta referente as assertivas.
Escolha uma:
MECÂNICA DOS FLUIDOS U2 - SEÇÃO 2 U2 S2 - ATIVIDADE DE APRENDIZAGEM
1) Sabendo-se que a equação dada é a equação geral da quantidade de movimento linear para um volume de controle e o Teorema de Transporte de Reynolds que gera essa equação através de integrais e estudos do volume de controle que deve ser coincidente com o sistema em um dado instante, sendo assim as forças que atuam nesse volume de controle são iguais.
Assinale a alternativa correta que melhor descreve a equação.
Escolha uma:
2) A equação geral da quantidade de movimento angular para um volume de controle, e estabelece que torque resultante atuando sobre o volume de controle é igual a taxa de variação temporal da quantidade de movimento angular dentro do volume de controle, somada aos fluxos de entrada e saída de quantidade de movimento angular através da superfície de controle.
Porém os casos que as velocidades e as áreas são uniformes em cada entrada e saída, o volume de controle é fixo e o escoamento é realizado em regime permanente.
Assinale a alternativa que melhor interpreta a equação.
Escolha uma:
Analisando a afirmação acima, assinale a alternativa correta referente a equação da quantidade de movimento linear.
Escolha uma:
MECÂNICA DOS FLUIDOS U2 - SEÇÃO 3 U2 S3 - ATIVIDADE DIAGNÓSTICA
1) Sabendo-se que a formulação da segunda lei da termodinâmica, para sistemas, é descrita da seguinte forma: .
I - Para encontrar a formulação da segunda lei da termodinâmica para o volume de controle aplica-se a segunda lei de Newton, deve-se recorrer para o teorema de transporte de Reynolds.
II - A taxa de geração de entropia no interior do volume de controle é o nome dado a transferência da entropia para dentro do volume de controle que deve exceder a taxa pela qual a transferência é admitida.
III -
, nessa equação o termo Q representa a taxa temporal de transferência de calor na posição da superficie de controle onde a temperatura instantânea é T.
Julgue as frases e assinale a alternativa correta.
Escolha uma:
( ) A variação da energia, contida em um sistema é encontrada através da soma entre a quantidade de calor e o trabalho realizado durante a transformação do sistema.
( ) A taxa de entrada de calor fornecida para um sistema pode ser calculado por Q=Qsai - Qentra
( ) A taxa de saída de trabalho, chamado de potencia, realizada pelo sistema é dado pela seguinte formula:W=Wentra - Wsai
Assinale a alternativa correta.
Escolha uma:
Vários equipamentos que possuem movimento de fluidos, exigem a utilização das equações da ___________lei da termodinâmica, muitas vezes chamada de equação ___________, e da _____________ lei da termodinâmica, em seus projetos, a fim de dimensiona-los corretamente.
Assinale a alternativa correta, referente a sequência do complemento da frase.
Escolha uma:
MECÂNICA DOS FLUIDOS U2 - SEÇÃO 3 U2 S3 - ATIVIDADE DE APRENDIZAGEM
1) A taxa de realização de trabalho com o tempo, W [J/s] , é chamada de potência, cuja unidade é o Watt [W] , sendo que essa taxa é normalmente subdividida em quatro classificações, eixo normal cisalhamento outros
| I -Trabalho do Eixo | A - Trabalho realizado pela força elétrica ou força magnética |
| II - Trabalho Tensões Normais |
B - Trabalho de uma Força através do deslocamento. |
| III - Trabalho Tensões Cisalhamento | C - Movimento do eixo atravessa a superfície de controle fornecendo ou removendo trabalho do volume de controle |
| IV - Outros Trabalhos | D - Trabalho da força de cisalhamento sobre um elemento de área |
Assinale a alternativa correta.
Através das experiencia de Sadi Carnot, recebeu o nome de ciclo de Carnot os processos reversíveis que proporciona a obtenção de uma maquina térmica com o maior rendimento possível.
Calcule o rendimento e o trabalho realizado por uma máquina de Carnot que trabalha com temperaturas entre 250 K e 500 K e recebe 1850 J de calor de uma fonte quente.
Assinale a alternativa correta.
Escolha uma:
Uma máquina térmica cíclica recebe realiza trabalho de 5200 J, após receber 8000 J de calor de uma fonte quente. Calcule o rendimento dessa máquina térmica.
Calcule o rendimento dessa máquina térmica e assinale a alternativa correta.
Escolha uma:
MECÂNICA DOS FLUIDOS U2 - SEÇÃO 3 U2 - AVALIAÇÃO DA UNIDADE
1) Em um caminhão com motor a Diesel e que possui 60% de rendimento e a cada ciclo em que ele opera, temos em torno de 700 calorias, qual é o valor de calor perdido para a fonte fria e qual o calor recebido da fonte quente.
Dados: 1 cal = 4J.
Assinale a alternativa correta, com os valores em Joules.
Escolha uma:
Dados: gás ideal, cp do ar 1,0 kJ/kg.K.
Calcule a velocidade de saída e assinale a alternativa correta.
Escolha uma:
A equação de quantidade de movimento linear é uma equação vetorial e cada termo deve ser tratado exclusivamente como um vetor. Analise os itens abaixo.

Assinale a alternativa correta.
Escolha uma:
I - Todos os sistemas físicos e químicos apresentam interações de energia com seu entorno, pois a quantidade de energia envolvida, se equivale com uma massa extremamente pequena, comparando-a com a massa total do sistema.
PORQUE
II - Nos volumes de controle a massa nunca cruza as superfícies de controle por isso, não é necessário controlar a quantidade de massa que entra e sai do sistema.
Com base nas frases citadas, assinale a alternativa correta.
Escolha uma:
é igual à taxa de variação temporal da quantidade de movimento angular H. Porém a quantidade de movimento angular do sistema deve ter um referencial inercial e uma quantidade de massa fixa.
Através da afirmação acima, assinale a alternativa que melhor representa a equação da quantidade de movimento angular de um sistema.
Escolha uma:





























