CÁLCULO DIFERENCIAL E INTEGRAL IIU1 - SEÇÃO 1U1S1 - WEBAULA
CÁLCULO DIFERENCIAL E INTEGRAL IIU1 - SEÇÃO 1U1S1 - ATIVIDADE DIAGNÓSTICA
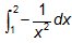
1) A alternativa que corresponde ao valor da integral
é:
a. -1/2
b. 0
c. 1/2
d. 1
e. -1
Escolha uma:
a. F(x) = x3/3+3x+5
b. F(x) = x3+3x
c. F(x) = 2
d. F(x) = 4x3+6x2
e. F(x) = x3
Escolha uma:
a. 3 u.a.
b. 1 u.a
c. 4 u.a.
d. 2 u.a.
e. 0 u.a
CÁLCULO DIFERENCIAL E INTEGRAL II U1 - SEÇÃO 1U1S1 - ATIVIDADE DE APRENDIZAGEM
1) A função que é uma primitiva de f(x)= 1/raiz x
2) Faça uma estimativa inferior da área entre o gráfico da função f(x)=x^3-x+1 e o eixo x, limitado pelas retas x=0 e x=1. Utilize 5 retângulos com base 0,2. O valor estimado da área é:
Escolha uma:
a. 0,45 u.a
b. 0,82 u.a.
c. 0,32 u.a.
d. 1,13 u.a.
e. 0,68 u.a.
CÁLCULO DIFERENCIAL E INTEGRAL IIU1 - SEÇÃO 2U1S2 - WEBAULA
CÁLCULO DIFERENCIAL E INTEGRAL IIU1 - SEÇÃO 2U1S2 - ATIVIDADE DIAGNÓSTICA
1) Marque a alternativa que corresponde ao valor da integral a seguir:
Escolha uma:
a. -1
b. 2
c. -2
d. 0
e. 1
2) Um carro começa a acelerar segundo a equação
.
Marque a alternativa que corresponde à variação da velocidade nos 6 primeiros segundos. Dado: aceleração é a taxa de variação da velocidade com relação ao tempo.
Escolha uma:
a. 10m/s.
b. 11m/s.
c. 12m/s.
d. 13m/s.
e. 14m/s.
3) Uma primitiva para f(x) = 2sen(3x) - 3x2 é:
Escolha uma:
CÁLCULO DIFERENCIAL E INTEGRAL IIU1 - SEÇÃO 2U1S2 - ATIVIDADE DE APRENDIZAGEM
1) A alternativa que corresponde ao valor da integral a seguir é:
Escolha uma:
a. -25
b. 0
c. -20
d. -35
e. -30
2) A área entre as retas x=e, x=e2, y=0 e a curva y(x) = ln(x) é:
a. e2 u.a.
b. (e2 - e) u.a.
c. 2e u.a.
d. (e-1) u.a.
e. 1 u.a.
CÁLCULO DIFERENCIAL E INTEGRAL IIU1 - SEÇÃO 3U1S3 - ATIVIDADE DIAGNÓSTICA
1) A área entre as retas y = 0, x = -1 e x = 1 e a curva y = ex - 1 é:
Escolha uma:
a. e - e-1 - 2 u.a.
b. e-1 + e + 2 u.a.
c. e-1 - e - 2 u.a.
d. e + e-1 = 2 u.a.
e. e + e-1 - 2 u.a.
Feedback
A resposta correta é: e + e-1 - 2 u.a..
Escolha uma:
a. 0.
b. 2u.a.
c. -2u.a.
d. -4u.a.
e. 4u.a.
Feedback
A resposta correta é: 4u.a..
CÁLCULO DIFERENCIAL E INTEGRAL IIU1 - SEÇÃO 3U1S3 - ATIVIDADE DE APRENDIZAGEM
1) A área entre as retas y=0, x=0, x= π/3 e a curva y(x) = cos(3x) é
Escolha uma:
a. 2 u.a.
b. 0 u.a.
c. 4 u.a.
d. 1 u.a.
e. 3 u.a
Feedback
A resposta correta é: 2 u.a..
2) A área entre as retas x= -π/3, x=π/3, y=1 e a curva y(x) = 3cos(3x) é:
Escolha uma:
a. 0 u.a.
b. 2,45 u.a.
c. 0,33 u.a.
d. 3,18 u.a.
e. 1,37 u.a.
Feedback
A resposta correta é: 1,37 u.a..
3) A área entre as retas y=0, x=1/e , x=1 e a curva y(x) = ln(x) é:
Escolha uma:
a. 0,26 u.a.
b. 0,59 u.a.
c. 0,15 u.a.
d. 0,37 u.a.
e. 0,48 u.a.
Feedback
A resposta correta é: 0,26 u.a..
CÁLCULO DIFERENCIAL E INTEGRAL IIU1 - SEÇÃO 4U1S4 - ATIVIDADE DIAGNÓSTICA
1) Qual é a função f, cuja derivada é dada por f'(x) = 6x2 - 4x - 3 e f(0) = 5?
Escolha uma:
a. f(x) = 2x3 - 2x2 - 3x +5
b. f(x) = 12x + 5
c. f(x) = 5
d. f(x) = 6x2 - 4x - 3x +5
e. f(x) = 2x3 -2x2 - 3x
Feedback
A resposta correta é: f(x) = 2x3 - 2x2 - 3x +5.
Escolha uma:
a. 10 m/s.
b. 13 m/s.
c. 18 m/s.
d. 15 m/s.
e. 20 m/s.
Feedback
A resposta correta é: 18 m/s..
Escolha uma:
a. R$1138.
b. R$2185.
c. R$1784.
d. R$1459.
e. R$2038.
Feedback
A resposta correta é: R$2185..
CÁLCULO DIFERENCIAL E INTEGRAL IIU1 - SEÇÃO 4U1S4 - ATIVIDADE DE APRENDIZAGEM
1) Um foguete inicialmente em repouso acelera a uma taxa a(t) = 3t2 (unidade m/s2). Qual será sua velocidade (unidade m/s) após 5 segundos?
Escolha uma:
a. 10 m/s
b. 375 m/s
c. 125 m/s
d. 50 m/s
e. 250 m/s
Feedback
A resposta correta é: 125 m/s.
Escolha uma:
Escolha uma:
a. a) R$ 104,50
b. R$ 63,00
c. R$ 95,49
d. R$ 80,36
e. R$ 70,42
Feedback
A resposta correta é: R$ 95,49.
CÁLCULO DIFERENCIAL E INTEGRAL IIU1 - SEÇÃO 4U1 - VÍDEO AULA RESUMO
CÁLCULO DIFERENCIAL E INTEGRAL IIU1 - SEÇÃO 4U1 - AVALIAÇÃO DA UNIDADE
1) “Determinar as variáveis e as suas relações, talvez seja uma das maiores dificuldades que encontramos ao nos depararmos com problemas do cotidiano.”
Qual é a função , cuja derivada é dada por
e e f(x) = 3?
Uma amostra de um certo objeto possui no início do processo de decaimento N(0) = 1x104 núcleos radioativos de carbono-14. Sabendo que a variação do decaimento de núcleos radioativos de carbono-14 com o tempo (em anos) é N(t) = -N(0)λe-λt, em que λ = 1,245x10-0.A alternativa que corresponde ao número de núcleos radioativos após 3000 anos é:
Escolha uma:
a. 6883.
b. 4183.
c. 4738.
d. 6077.
e. 5366.
No instante em que um cidadão clicou para baixar uma música de 3,3 MB (megabyte), a velocidade do download foi de d'(t) = -0,02t + 0,4 MB/s. Quanto tempo demorou para baixar essa música?
Escolha uma:
a. 12 segundos.
b. 9 segundos.
c. 17 segundos.
d. 8 segundos.
e. 15 segundos.
A receita marginal na venda de determinado produto é dada por

reais por unidade. Sabendo que sem venda não há receita (R(0) = 0) determine a receita na venda de 100 produtos?
Escolha uma:
a. R$ 440,43.
b. R$ 654,65.
c. R$ 350,50.
d. R$ 803,14.
e. R$ 567,32.
A alternativa que corresponde à área entre as curvas y = 4 e y = x2 é:
Escolha uma:
a. 9,24 u.a.
b. 12,91 u.a.
c. 6,35 u.a.
d. 11,83 u.a.
e. 10,67 u.a.































